Matrix Equations worksheets
FREE Printable Matrix Equations Worksheets!

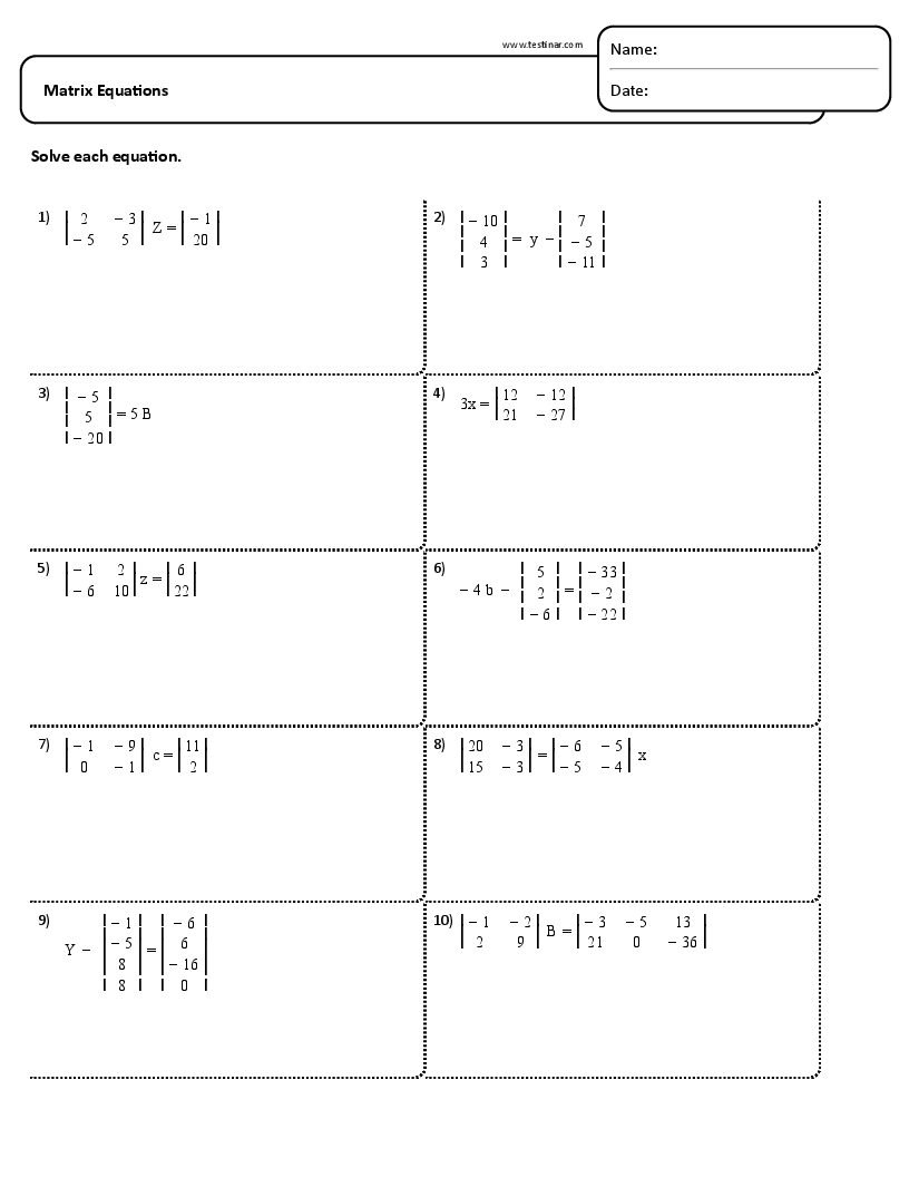
This page includes printable worksheets on Matrix Equations. You can access all of them for free. This versatile worksheets can be timed for speed, or used to review and reinforce skills and concepts. You can create math worksheets as tests, practice assignments or teaching tools to keep your skills fresh.

HiSET Math for Beginners
$24.99 $14.99
40% Off*

The Ultimate Step by Step Guide to Preparing for the HiSET Math Test

Worksheet 1

Worksheet 2